La máxima potencia eólica aprovechada la define el Límite de Betz…
La energía eólica es la energía cinética del viento.
La potencia disponible del viento que pasa perpendicularmente a través de un área circular (la realizada por las palas del rotor, r) es:
Esta expresión nos indica que la potencia eólica disponible es proporcional a la densidad del aire, al área expuesta perpendicularmente al flujo de viento y al cubo de la velocidad del mismo.
La potencia eólica disponible es la máxima potencia que podríamos extraer al viento si pudiésemos convertir toda su energía cinética en energía útil. El límite de Betz, lor rozamientos aerodinámicos y mecánicos, rendimientos del generador eléctrico, etc. sólo nos permitirán en la práctica, en el mejor de los casos, un 40% de la potencia eólica disponible.
La potencia eólica extraída o captada del viento por el rotor de la máquina se conoce como Potencia Eólica Aprovechada (Pa). El rendimiento de conversión se describe por un Coeficiente de Potencia (Cp) definido como la relación entre la potencia aprovechada y la disponible (Cp=Pa/Pd). Es la fracción de la energía cinética del viento convertida en energía cinética de rotación en el rotor del aerogenerador.
Existe un límite superior para la potencia eólica aprovechada, según el cual ningún aerogenerador puede extraer del viento una potencia superior a la fijada por este límite. Este es el definido por la Teoría de Betz y, aunque este teorema se demuestra para máquinas de eje horizontal (tipo hélice), sus conclusiones son aplicables a las de eje vertical. De hecho, el rendimiento de estas últimas se acostumbra a referir a la potencia máxima aprovechada dada por el límite de Betz.
Límite de Betz:
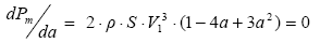
Para calcular cuando tendremos máxima potencia mecánica, derivamos e igualamos a cero :
La máxima potencia ocurre cuando a = 1/3, por tanto :
Una turbina eólica puede convertir en energía mecánica como máximo un 59,26 % de la energía cinética del viento que incide sobre ella.






22 Comments
[…] esa energía sólo se puede transformar en energía eléctrica el 59,3 %; esto se conoce como límite de Betz, que determina la máxima Eficiencia Energética que puede tener una turbina […]
En mi opinión utilizar el límite de Betz para calcular el rendimiento de un aerogenerador, es algo anticuado y que carece de sentido, las palas de un aerogenerador giran a un número determinado de revoluciones, por ejemplo el Bazan Bonus de 1.500 KW. pera generar esa potencia tiene unas palas de 29 m. que giran a 19 rpm., vientos de 13 m/s. por supuesto que el viento entra en su área de barrido a una velocidad y sale a otra, pero eso no quiere decir nada, ya que si las palas en lugar de tener forma aerodinámica, fuesen redondas, ó planas, en fin sin forma aerodinámica, la turbulencia se produciría igual, pero la energía entregada no sería aprovechable.
Para hacer el cálculo no se puede tener en cuenta el viento que cruza por el área de barrido, si no el que incide en las palas y para eso de utiliza la ecuación de la sustentación.
Debemos de tener en cuenta también, que una tercera parte de esas palas a las que hago referencia, tienen una velocidad superior a los 13 m/s. del viento, por lo tanto ahí en viento no entrega par.
Manuel F. Arcos, que tal, soy nuevo en el tema y en mi entender, el máximo viento aprovechable por un aerogenerador serían los 90 km/h.
Si requiero extraer 1 kW/h con esa velocidad máxima cte. de viento, ¿de qué diámetro y ancho, deberán ser las palas del generador?
La limitante de mi proyecto es la altura o diámetro de las palas, es por eso que pienso incorporar palas verticales (2 m de longitud) en horizontal con el menor ancho posible.
Igual y estoy alucinando barato, pero es lo único que se me ocurre por ahora.
Gracias y saludos.
Corrijo : es cuantos metros por segundo necesito para que no falte electricidad en una casa en invierno
voy a hacer un proyecto y necesito saber si el solarwind o turbina hibrida solar y eolica es lo mejor que existe y si me podriais informar sobre su rentavilidad a corto o largo plazo.
Tb cuantos m/s de viento necesito anualmente para que falte electricidad cuando es invierno porque pensaba poner una estacion meteorologica para decirme cual y cuanto viento hace en el lugar, ya que el mapa eolico solar hecho por el idae esta pensado para 30,60,80 metros de altura y este tipo de molinos hibridos no llegan a tanta altura.
Primero debes saber cuál es tu demanda energética (kwh/mes), luego con los datos de la idae puedes saber la velocidad para tu punto de trabajo (h) ((ln*vi/zo)/(ln*hi/zo)) ésta fórmula te sirve para una altura de 40mts o menos suerte
Hola Anónimo, soy otro anónimo. Como bien dices la energía tiene que venir principalmente de una variación de presión.
Supongo que todos conoceis la principal ley aerodinámica que hace que un avión sea capaz de volar, la ley de Prandtl de régimen laminar donde la sustentación es creada gracias a un gradiente de presiones entre intradós y extradós. Estó es, la presión siempre viaja a zonas de menor presión y en intradós existe mayor presión que en extradós, he aquí el principio de la sustentación.
Llegados a este punto, la ley de Betz no supone que la presión es la misma a ambos lados de la pala. La pala actua como un obstáculo y por lo tanto aumenta la presión del viento justo delante de la pala; ahora bien, al otro lado de la pala la presión se ve aliviada y disminuye radicalmente. Para que se produzca el movimiento de la pala, debe producirse sustentación sobre la pala y para ello debe haber un gradiente de presiones.
La ley de Betz presupone que la presión justo delante y detrás de la pala es la misma, pero de signo cambiado. La variación de presión es asintótica en las proximidades de la pala y sólo cuando se encuentra el viento lo suficientemente lejos de la pala, vuelve a sus condiciones estáticas.
Espero haberme explicado correctamente, un saludo.
Me contesto a mi mismo,
hay otra hipótesis en la ley de Betz que no se menciona: Se supone que toda la energía viene de la energía cinética, sin embargo en las turbinas hidráulicas la energía viene principalmente de la variación de presión.
En la ley de Betz se supone la la presión a ambos lados de la turbina es la misma.
Hola Alberto,
la compresibilidad mide como disminuye el volumen de un cuerpo al aumentar la presion, y la densidad es la masa de un cuerpo que hay en un determinado volumen.
La compresibilidad se mide como la variación de la densidad de un cuerpo cuando lo sometes a presión, pero el valor de ese cambio de densidad ante un incremento fijo de presión no tiene nada que ver con la densidad inicial del cuerpo.
Vamos, lo que quiero decir es que si conoces la densidad de un cuerpo no existe ninguna fórmula para comocer la compresibilidad de ese cuerpo.
No se si me explico …
Efectivamente, error mío… no me expliqué bien:
Para desarrollar la teoría, se parte de la suposición de encierrar el rotor en un tubo de aire donde las variables fluidas alcanzan valores constantes.
Para el análisis del problema se toman de partida las siguientes hipótesis:
Hola Alberto, soy el anónimo al que has contestado.
En el desarrollo de arriba no se tiene encuenta para nada la comprensibilidad del aire, de hecho se está suponiendo que es incomprensible.
Y por otra parte la densidad, que no tiene nada que ver con la comprensibilidad, es solo un número en la fórmula que al calcular el rendimiento se cancela.
Mas aún, en http://en.wikipedia.org/wiki/Betz%27_law empiezan diciendo que <> y en "Assumptions" dicen: << 3. This is incompressible flow … >>
Osea que sería mas aplicable al agua que al aire ..
A una turbina hidráulica no se le puede aplicar, dado que estas aprovechan la energía de un fluido incompresible (agua), es decir, que su densidad no varía con el cambio de presión, a diferencia de lo que ocurre con los gases.
http://es.wikipedia.org/wiki/Turbina_hidr%C3%A1ulica
http://es.wikipedia.org/wiki/Hidrodin%C3%A1mica
Simplificando, la densidad del agua es mayor a la del aire, por lo cual ejerce mayor fuerza sobre la superficie de acción.
Dejos un enlace sobre cómo se calcula el rendimiento de turbinas hidráulicas: http://www.asing.es/rendimiento_turbinas_hidraulicas.php
Efectivamente, la turbina Francis es la más usada y su rendimiento se situa entorno al 90%.
Yo lo que no entiendo es porque este límite no se aplica a las turbinas hidráulicas.
Creo haber leído que para esas turbinas el rendimiento es de alrededor del 90%.
Quise resumir las ecuaciones para no alargar demasiado el artículo. La explicación de cómo se obtiene dichas ecuaciones las podéis ver a partir de la página 27 del enlace que he dejado para ampliar información (en PDF) que se encuentra al final del post.
(a) es el coeficiente de velocidad inducida axial, el cual con valor igual a 1/3, la potencia mecánica es máxima.
Resumiendo… Pmax=0,593·Pd
(siendo Pmax= Potencia máxima aprovechada; Pd= Potencia disponible en el viento).
En consecuencia, el valor máximo del coeficiente Cp es igual a 0,593 que en la práctica sólo llegan a ser algo superirores a 0,4 en el mejor de los casos.
Sobre la eficiencia de las células fotovoltaicas tengo pensado escribir algo este fin de semana. Pero efectivamente rondan los datos que habéis comentado.
Gracias por vuestros comentarios.
Saludos a todos
En mi opinión, antes de derivar la ecuación de la potencia mecánica, falta explicar cómo se obtiene dicha ecuación y el significado de a. Por lo demás, un buen artículo.
Sobre los rendimientos de las células fotovoltaicas, en la wikipedia está representada la evolución del rendimiento a lo largo del tiempo, con un máximo del 40.7% a finales del 2007.
Un saludo
Hola, para el calculo de la maxima potencia derivamos en funcion de a, y el valor maximo se obtiene para a=1/3, ¿Pero que es a?
en laboratorias se han conseguido rendimientos del 42% (+o-), pero los módulos fotovoltaicos comerciales (de silicio) están actualmente sobre 14-16%.
Segun creo en torno al 30%.
cual es el aprovechamiento que actualmente hacen las placas fotovoltaicas???
Además el impacto, aunque exista, debe ser muchas veces menor que, por ejemplo, un edificio de esos que hacemos los humanos por todas partes, no?
Por cierto, genial el post.
Hola Reyes, gracias por tu comentario.
La verdad, no sé si te he entendido muy bien…
Un obstáculo produce una pérdida de energía en la corriente de aire. Un aerogenerador de un parque eólico actua como obstáculo, y produce una disminución de la energía que recibe otro aerogenerador que se sitúe aguas abajo en la dirección del viento (efecto estela).
Es decir, cada aerogenerador disminuye la velocidad de salida del viento a su paso, creando turbulencias, pero no son tan significativas como para reducir vientos en un zona geográfica tras su paso, ya que se recuperan tras el parque eólico…
Es más, en los parques de varias filas de aerogeneradores, para minimizar las pérdidas, se recomienda una distancia mínima de 7 veces el diámetro del rotor entre aerogeneradores alineados en las direcciones de vientos predominantes y 3 veces el diámetro en sentido perpendicular.
¿Podría afectar en el caótico orden de la tierra que en una zona hubieran muchísimos molinos que frenaran el viento? No se si me explico, cómo efecto mariposa.